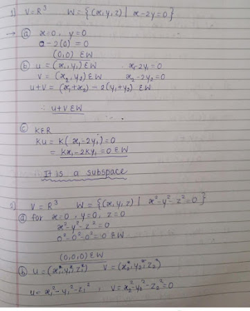
Home Examples on subset of vector space & linearly independent vector byArtificial Intelligence •February 11, 2024 0 Q)which of the following are subset of vector subspace ...?Q) which of the following subset are linearly independent ...? Facebook Twitter